Home > Products

Flat Sheet Membrane

Membrane sheet is the key unit for membrane element; it is the₩ foundation of industrial application. Choosing proper membra↔ne is very important for application success.

We can offer UF/MF/NF/RO membrane sheet with various membrane chemi stry and different MWCO.

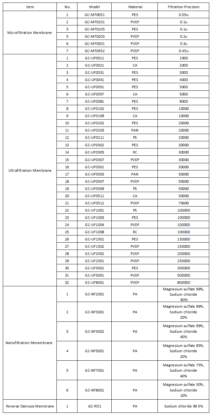
Type of Flat sheet membrane



For further information on Flat sheet membrane  products, please do not hesitatαe to contact  our technical service team. We look forward to helping you meet all of your me¶mbrane needs.

Contact:
Tel:+86 592 6514970
Email:market@guochukeji.com
Skype:18060902001
WhatsApp:18060902001
WeChat:18060902001
TM: guochukeji
QQ:1641011431
Related Product

Ceramic Membrane

Ceramic membrane is a porous fine ceramic filter which is sintered from Aluminia, Titaφnia or Zirconia under ultra high te...

Oxygen-enriched Membrane

Under the impetus of pressure difference between two sides of membrane, oxygen in air pass πthrough membrane first and get...

Diffusion Dialysis Membrane

Diffusion dialysis (DD) is an ion-exchange membrane (IEM) separ≤ation process driven by concentration gradient and has bee...

Oxygen Removal Membrane

ETO membrane is used to remove dissolved oxygen in water. It is operated in three modes accσording to different deoxygenat...

Inorganic Pervaporation Membrane

Pervaporation membranes can be classified into organic and inorganic membranes. ×NaA zeolite membrane, as an inorganic mem...

Solvent Resistant Membrane

GUOCHU Technology (Xiamen) Co., Ltd. has made application of adva nced organic solvent nanofiltration membrane technology ...